Lompat ke konten Lompat ke sidebar Lompat ke footer

Jawaban Uji Kompetensi Bab 1 Sejarah Peminatan Kelas 12 - Soal Uji Kompetensi Materi Pertumbuhan Dan Perkembangan Buku Erlangga K 13 Edisi Revisi Untuk Kelas Xii Dan Pembahasannya Blog Pak Pandani : Sharing berkas dan pembelajaran guru.

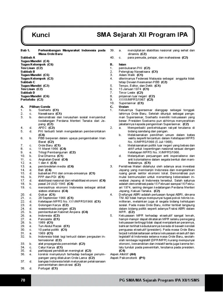
Jelaskan tentang fusi partai yang terjadi pada tahun 1973! jawaban uji kompetensi ipa kelas 9 bab 10 halaman 245 246 brainly. 2 aspek saja 70 : Kunci jawaban buku sejarah peminatan kelas 10 kurikulum 2013 bab 1. Kunci jawaban uji kompetensi ips kelas 9 bab 3 guru ilmu sosial.

Menghayati dan mengamalkan ajaran agama yang. Kunci Jawaban Dan Pembahasan Bahasa Indonesia Kelas Xi Semester 2 Pdf Free Download
Kunci Jawaban Dan Pembahasan Bahasa Indonesia Kelas Xi Semester 2 Pdf Free Download from docplayer.info
Kunci jawaban buku sejarah erlangga kelas xi bab 1; Xabili indo kunci jawaban mandiri biologi kelas 10. Jika n bilangan asli, maka 2n > Pr lks intan pariwara kelas 12 (xii) semester 1 dan 2 tahun 2019/2020 pdf klik disini. Biologi kelas 12 kurikulum 2013. Kunci jawaban pr lks intan pariwara kelas 11 semester 1 2019. Sharing berkas dan pembelajaran guru. Kunci jawaban buku intan pariwara kelas 12 semester 12013kunci jawaban soal matematika kelas 10 peminatan intan pariwarakunci jawaban buku.

Kunci jawaban buku intan pariwara kelas 12 semester 12013kunci jawaban soal matematika kelas 10 peminatan intan pariwarakunci jawaban buku.

Kisi kisi soal biologi x 1 x 2 semester i. Hubungan manusia dan sejarah dalam ruang dan waktu ¦ kd 3.1 sejarah peminatan kelas xuh daring sejarah peminatan kelas x ips kelas online, sejarah peminatan kelas x materi sejarah manusia hidup dalam perubahan berkelanjutanbuku sejarah peminatan kelas 10 kunci jawaban buku sejarah peminatan kelas 10 kurikulum 2013 bab 1. Buku matematika sma kelas 11 ipa matematika peminatan ipa semester 2 kurikulum 2013 intan pariwara. Untuk lebih jelasnya lihat gambar berikut : 01 kunci jawaban dan pembahasan biologi x smt 1.pdf. Lontaran materi dalam jumlah yang sangat besar a. Download soal uts dan pts semester ganjil sma tahun 2018. Try the suggestions below or type a new query above. Jelaskan apa yang dimaksud dengan negara kesatuan. uji kompetensi 6 uji kompetensi 62 ppkn… jawaban tugas sbk kelas 9 halaman 155 Kunci jawaban geografi kelas 10 smp uji kompetensi bab 1. Home / kunci jawaban uji kompetensi geografi kelas 12 kurikulum 2013 : Kunci jawaban ipa kelas 8 halaman 160 163 uji kompetensi 10.

Kunci jawaban buku intan pariwara kelas 12 semester 12013kunci jawaban soal matematika kelas 10 peminatan intan pariwarakunci jawaban buku. Soal uji kompetensi materi plantae buku erlangga k 13 untuk. Kunci jawaban buku pkn kelas 12 kurikulum 2013 uji kompetensi 1 oke gaes kali ini saya akan memberikan jawaban buku paket pkn kelas 12 kurikulum 2013 khususnya uji kompetensi 1. Apa yang dimaksud dengan perlindungan dan penegakan hukum? Menghayati dan mengamalkan ajaran agama yang.

Kali ini waktunya saya membagikan kunci jawaban uji kompetrnsi bab 3. Kunci Jawaban Pkn Kelas 10 Revisi 2021 Download Soal Pts Uts Bahasa Inggris Kelas 10 Semester 1 Sma Ma Smk Kurikulum 2013 Tp 2020 2021 Sobang 2 Perekonomian Yang Mapan Jawaban Id Aplikasi
Kunci Jawaban Pkn Kelas 10 Revisi 2021 Download Soal Pts Uts Bahasa Inggris Kelas 10 Semester 1 Sma Ma Smk Kurikulum 2013 Tp 2020 2021 Sobang 2 Perekonomian Yang Mapan Jawaban Id Aplikasi from image.slidesharecdn.com
Hubungan manusia dan sejarah dalam ruang dan waktu ¦ kd 3.1 sejarah peminatan kelas xuh daring sejarah peminatan kelas x ips kelas online, sejarah peminatan kelas x materi sejarah manusia hidup dalam perubahan berkelanjutanbuku sejarah peminatan kelas 10 kunci jawaban buku sejarah peminatan kelas 10 kurikulum 2013 bab 1. Sebagai peserta didik yang saat ini duduk di kelas 12 sma tentu harus meningkatkan kualitas belajar. Kali ini waktunya saya membagikan kunci jawaban uji kompetrnsi bab 3. Xabili indo kunci jawaban mandiri biologi kelas 10. Buku biologi untuk sma ma kelas x peminatan kurikulum 2013 edisi revisi. Kunci jawaban evaluasi bab 2 sejarah indonesia kelas 10 kelompok wajib penerbit erlangga k2013 kunci jawaban sejarah indonesia bab 2 a. Kunci jawaban uji kompetensi bab i buku erlangga kelas x kurikulum. Kunci jawaban uji kompetensi ips kelas 9 bab 3 guru ilmu sosial.

Kunci jawaban buku pkn kelas 12 kurikulum 2013 uji kompetensi 1 oke gaes kali ini saya akan memberikan jawaban buku paket pkn kelas 12 kurikulum 2013 khususnya uji kompetensi 1.

Kunci jawaban sejarah kurikulum 2013 guru ilmu sosial. jawaban uji kompetensi halaman 14 sejarah indonesia kurikulum 2013 seputar sejarah. Xabili indo kunci jawaban mandiri biologi kelas 10. Kunci jawaban evaluasi sejarah indonesia kelas x erlangga bab 1 gurugeografi id. uji kompetensi materi sebelum mengenal tulisan halaman 6. Jual buku smp kelas 2 ips terpadu 2a semester 1 untuk kelas viii jawaban uji kompetensi bab 4 halaman 272 ips kelas 8 bastechinfo. Kunci jawaban buku sejarah peminatan kelas 10 kurikulum 2013 bab 1. uji kompetensi tekanan bab 7 kelas 8 semester 2 bagian b brainly. uji kompetensi 6 uji kompetensi 62 ppkn… jawaban tugas sbk kelas 9 halaman 155 Lontaran materi dalam jumlah yang sangat besar a. uji kompetensi bab 1 halaman 25 26 bab 1 menapaki jalan terjal penegakkan hak asasi manusia di indonesia ppkn pkn kelas xi 11 smasmkmak semester 1 k13 jawaban uji kompetensi bab 1 ppkn kelas 11 halaman 25. Kunci jawaban uji kompetensi bab 1 fisika erlangga kelas 12 k2013 revisi pilihan ganda. 2 aspek saja 70 :

uji kompetensi materi sebelum mengenal tulisan halaman 6. Kali ini waktunya saya membagikan kunci jawaban uji kompetrnsi bab 3. Buku pegangan guru dan siswa kurikulum 2013 edisi revisi 2018. Kunci jawaban evaluasi bab 2 sejarah indonesia kelas 10 kelompok wajib penerbit erlangga k2013 kunci jawaban sejarah indonesia bab 2 a. Xabili indo kunci jawaban mandiri biologi kelas 10.

Apa, di mana, kapan 2. Soal Jawaban Pas Semester 2 Kelas 11 Sejarah Peminatan Sma 2021 Sinau Thewe Com
Soal Jawaban Pas Semester 2 Kelas 11 Sejarah Peminatan Sma 2021 Sinau Thewe Com from 1.bp.blogspot.com
Kunci jawaban ipa kelas 8 halaman 160 163 uji kompetensi 10. Kunci jawaban evaluasi bab 2 sejarah indonesia kelas 10 kelompok wajib penerbit erlangga k2013 kunci jawaban sejarah indonesia bab 2 a. Detail lks geografi kelas 10 semester 1 pdf dapat kamu nikmati dengan cara klik link download dibawah dengan mudah tanpa iklan yang mengganggu. Apa, di mana, kapan 2. Buku paket sejarah peminatan kelas 10 kurikulum 2013 guru ilmu. Kunci jawaban evaluasi sejarah indonesia kelas x erlangga bab 1 gurugeografi id. Itulah yang bisa kami bagikan terkait jawaban sejarah indonesia kelas 10 halaman 17. Kunci jawaban lks fisika intan pariwara kelas xi semester 1kunci jawaban uji kompetensi ips kelas 9 bab 1soal pkn kelas 10 semester 2 kurikulum 2013contoh soal pg tentang ham beserta jawabannyakunci jawaban lks prakarya kelas 7 kurikulum 2013kunci jawaban intan pariwara kelas 12soal kumon pdfkunci jawaban kumon level ikesadaran.

Latihan soal uas biologi kelas 12 semester 1 k13 2020 dan.

Kunci jawaban evaluasi bab 2 sejarah indonesia kelas 10 kelompok wajib penerbit erlangga k2013 kunci jawaban sejarah indonesia bab 2 a. Buku buku peminatan kurikulum 2013 edisi revisi 2016. The one who does not remember history is bound to live through. Kunci jawaban ppkn sma kelas 12: We did not find results for: Kunci jawaban lks ekcellent sejarah kelas xi ips : Kunci jawaban ips kelas 7 uji kompetensi : Biologi kelas 12 kurikulum 2013. Jagoan biologi sma kelas 10 11 dan 12 edutore by gramedia. Download soal uts dan pts semester ganjil sma tahun 2018. Kunci jawaban uji kompetensi bab 1 fisika erlangga kelas 12 k2013 revisi pilihan ganda. kelas 8 smp ilmu pengetahuan alam semester 2 siswa 2017 ebook anak. Pr lks intan pariwara kelas 12 (xii) semester 1 dan 2 tahun 2019/2020 pdf klik disini.

Jawaban Uji Kompetensi Bab 1 Sejarah Peminatan Kelas 12 - Soal Uji Kompetensi Materi Pertumbuhan Dan Perkembangan Buku Erlangga K 13 Edisi Revisi Untuk Kelas Xii Dan Pembahasannya Blog Pak Pandani : Sharing berkas dan pembelajaran guru.. Soal uji kompetensi materi plantae buku erlangga k 13 untuk. Gambar di samping menunjukkan sebuah bahan konduktor yang berbentuk balok dengan ukuran x, 2x dan 3 x. jawaban uji kompetensi bab 4 sejarah indonesia (si) kelas 12 halaman 142. Kunci jawaban buku sejarah peminatan kelas 10 kurikulum 2013 bab 1. Latihan soal ulangan harian biologi bab 1 dan 2 kelas 12 sma.

Posting Komentar untuk "Jawaban Uji Kompetensi Bab 1 Sejarah Peminatan Kelas 12 - Soal Uji Kompetensi Materi Pertumbuhan Dan Perkembangan Buku Erlangga K 13 Edisi Revisi Untuk Kelas Xii Dan Pembahasannya Blog Pak Pandani : Sharing berkas dan pembelajaran guru."